找回密码
 免费注册

QQ登录

只需一步,快速开始

查看: 5731|回复: 7

[2017] 03-25 法国PBP 京津冀200KM不间断骑行挑战赛成绩单

[复制链接]

1万

风云币

30

活动币

2万

积分

管理员

积分
23483

志愿者

发表于 2017-3-31 00:21:10 | 显示全部楼层 |阅读模式

亲,以车会友,扩大圈子。注册一下吧?

您需要 登录 才可以下载或查看,没有账号?免费注册

×
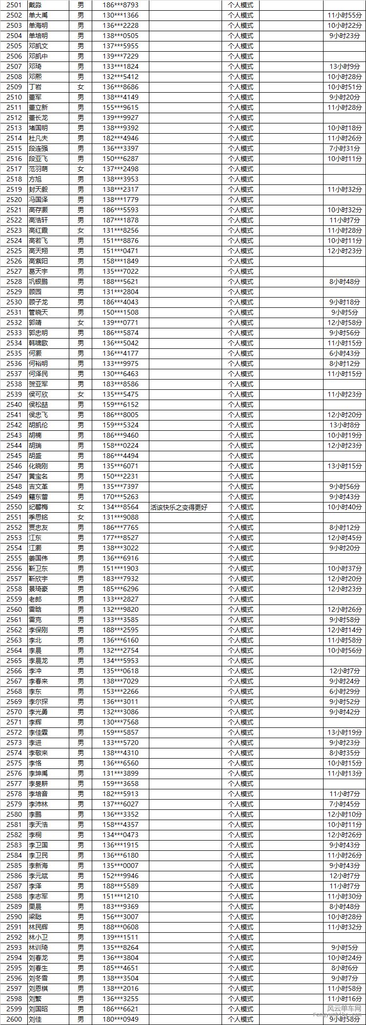
2017年03月25日,京津冀中心200KM不间断骑行挑战赛顺利完成,本次200公里挑战共吸引了来自北京、天津、河北以及内蒙古、山西等地的800余名自行车爱好者参加。因为糟糕的天气,原定的挑战路线下雪湿滑,造成很大的安全隐患,我们临时调整了骑行路线,虽然给广大车友造成了很多不便,但是绝大多数选手还是理解并支持这一决定。最终,实际到场802名选手中共有702名车友顺利完成了挑战。

200公里挑战组成绩

185713l4nfe4vea8voa944.jpg
185715zrdypmy8r6yrorym.jpg
185716itb0ev8vjyb7uv5u.jpg
185718xvpv9apah8jzcpvi.jpg
185719gggmgrts44ccesz4.jpg
185720ggo1m1i7ba0f6u9a.jpg
185722sykyoy1y7iny2k2r.jpg
185723wbb1lx1phjq502hj.jpg
185724n2pt11qyo2uyuwwc.jpg

1万

风云币

30

活动币

2万

积分

管理员

积分
23483

志愿者

 楼主| 发表于 2017-3-31 00:21:41 | 显示全部楼层
人工统计,难免有错误的地方,有问题抓紧联系我。成绩表不排名,默认按照号码牌顺序显示。
回复 鲜花 臭蛋

使用道具 举报

1万

风云币

30

活动币

2万

积分

管理员

积分
23483

志愿者

 楼主| 发表于 2017-3-31 00:21:58 | 显示全部楼层
可微信 加好友,反应问题。
回复 鲜花 臭蛋

使用道具 举报

628

风云币

0

活动币

751

积分

木甲骑士

积分
751
发表于 2017-3-31 08:01:02 | 显示全部楼层
辛苦了
回复 鲜花 臭蛋

使用道具 举报

15

风云币

0

活动币

18

积分

麻衣百姓

积分
18
发表于 2017-3-31 10:11:25 | 显示全部楼层
辛苦了!
回复 鲜花 臭蛋

使用道具 举报

发表于 2017-4-1 22:45:29 | 显示全部楼层
真棒!
回复 鲜花 臭蛋

使用道具 举报

您需要登录后才可以回帖 登录 | 免费注册

本版积分规则

QQ|Archiver|小黑屋|手机版|【风云单车】耀骑不间断骑行同盟|八天川藏极限挑战 ( 京ICP备2020035694号-1|11010802033067 )

GMT+8, 2025-10-1 08:27

Powered by Discuz! X3.5

© 2001-2025 Discuz! Team.

快速回复 返回顶部 返回列表